Beranda
/ Soal Sbmptn Trigonometri Dan Pembahasan - Contoh Soal Dan Pembahasan Sbmptn Materi Luas Segitiga Trigonometri Jawabanku Id / Dilarang memperbanyak atau memindahkan sebagian atau seluruh isi buku ini dalam bentuk apa pun, secara elektronis maupun mekanis, termasuk memfotokopi, merekam, atau dengan teknik.
Soal Sbmptn Trigonometri Dan Pembahasan - Contoh Soal Dan Pembahasan Sbmptn Materi Luas Segitiga Trigonometri Jawabanku Id / Dilarang memperbanyak atau memindahkan sebagian atau seluruh isi buku ini dalam bentuk apa pun, secara elektronis maupun mekanis, termasuk memfotokopi, merekam, atau dengan teknik.
Soal Sbmptn Trigonometri Dan Pembahasan - Contoh Soal Dan Pembahasan Sbmptn Materi Luas Segitiga Trigonometri Jawabanku Id / Dilarang memperbanyak atau memindahkan sebagian atau seluruh isi buku ini dalam bentuk apa pun, secara elektronis maupun mekanis, termasuk memfotokopi, merekam, atau dengan teknik.. Download soal utbk sbmptn dan pembahasan. Contoh soal pembahasan trigonometri kelas x10 soal no1 utbk 2019 jika diketahui x sin α sin β dan y cos α cos β maka nilai terbesar x 2 y 2 tercapai saat. Sbmptn 2018/2019 adalah seleksi penerimaan calon mahasiswa baru untuk perguruan tinggi negeri. Berikut ini merupakan soal dan pembahasan mengenai turunan fungsi trigonometri yang dikumpulkan dari berbagai referensi. Sbmptn 2020/2021 adalah seleksi penerimaan calon mahasiswa baru untuk perguruan tinggi negeri.
3 pembahasan soal un / unbk dan sbmptn turunan fungsi aljabar dan trigonometri soal dan pembahasan turunan fungsi aljabar dan trigonometri atau diferensial adalah topik bahasan kita kali ini. Sbmptn merupakan singkatan dari seleksi bersama masuk perguruan tinggi negeri. Pembahasan soal limit sbmptn 2018. Pembahasan soal matematika tes kemampuan dasar sains dan teknologi (tkd saintek) seleksi bersama masuk perguruan tinggi negeri (sbmptn) tahun 2017 kode naskah 157 nomor 6 sampai dengan nomor 10 tentang: Contoh soal pembahasan trigonometri kelas x 10 soal no 1 utbk 2019 jika diketahui x sin α sin β dan y cos α cos β maka nilai terbesar x 2 y 2 tercapai saat.
60 Soal Dan Pembahasan Matematika Dasar Sma Limit Fungsi Trigonometri Defantri Com from 1.bp.blogspot.com Soalskul download soal dan pembahasan sbmptn tkd saintek 2017. Download soal utbk sbmptn dan pembahasan. Soal turunan trigonometri sbmptn dan pembahasan. 3 pembahasan soal un / unbk dan sbmptn turunan fungsi aljabar dan trigonometri soal dan pembahasan turunan fungsi aljabar dan trigonometri atau diferensial adalah topik bahasan kita kali ini. Berikut ini www.matjitu.com akan membahas beberapa soal sbmptn tentang limit. Soal dan pembahasan grafik fungsi trigonometri. Berikut ini merupakan soal dan pembahasan mengenai turunan fungsi trigonometri yang dikumpulkan dari berbagai referensi. Rumus turunan trigonometri contoh soal dan pembahasannya.
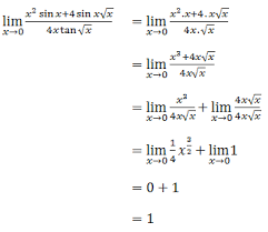
Berikut ini www.matjitu.com akan membahas beberapa soal sbmptn tentang limit.
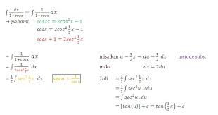
Limit trigonometri lingkaran logaritma matematika dasar matematika ipa matriks pelua peluang persamaan kuadrat pertidaksamaan program linier sbmptn sbmptn 2013 kode 323 sbmptn 2014 kode 584 sbmptn 2015 kode 502 simak ui simak ui 2011 kode 315. Pembahasan soal limit sbmptn 2018. Contoh soal limit fungsi trigonometri kelas 12 oleh admin diposting pada 3 juli 2020 pada kesempatan ini soal terbaru akan membahas materi limit fungsi trigonometri mencakup konsep rujukan soal dan pembahasan. Dari sejumlah soal tersebut, 15 nomor pertama merupakan mata uji matematika. Seleksi sbmptn ini setiap tahun diadakan setelah snmptn selesai. Un 2017 himpunan penyelesaian persamaan cos 2x cos x untuk 0 x 2π adalah. Seleksi sbmptn ini setiap tahun diadakan setelah snmptn selesai. Latihan soal sbmptn matematika ipa: Pembahasan soal matematika tes kemampuan dasar sains dan teknologi (tkd saintek) seleksi bersama masuk perguruan tinggi negeri (sbmptn) tahun 2017 kode naskah 157 nomor 6 sampai dengan nomor 10 tentang: Contoh soal dan pembahasan tentang contoh soal dan pembahasan tentang program linear. Contoh soal pembahasan trigonometri kelas x 10 soal no 1 utbk 2019 jika diketahui x sin α sin β dan y cos α cos β maka nilai terbesar x 2 y 2 tercapai saat. 120 soal dan pembahasan limit fungsi trigonometri 1. Download soal utbk sbmptn dan pembahasan.
Berikut ini koleksi bank soal seleksi perguruan tinggi negeri atau sbmptn materi trigonometri dari tahun 1992 sampai 2017 dengan jumlah 99 butir soal: Soal sbmptn trigonometri dan pembahasannya.rumus turunan trigonometri contoh soal dan pembahasannya. Contoh soal pembahasan trigonometri kelas x 10 soal no 1 utbk 2019 jika diketahui x sin α sin β dan y cos α cos β maka nilai terbesar x 2 y 2 tercapai saat. Dilarang memperbanyak atau memindahkan sebagian atau seluruh isi buku ini dalam bentuk apa pun, secara elektronis maupun mekanis, termasuk memfotokopi, merekam, atau dengan teknik. Oleh karenanya, penguasaan materi identitas trigonometri dan persamaan kuadrat akan sangat.
Soal Sbmptn Materi Persamaan Trigonometri Jawabanku Id from i.ytimg.com Sbmptn merupakan singkatan dari seleksi bersama masuk perguruan tinggi negeri. Contoh soal pembahasan trigonometri kelas x 10 soal no 1 utbk 2019 jika diketahui x sin α sin β dan y cos α cos β maka nilai terbesar x 2 y 2 tercapai saat. Yuk simak latihan dan pembahasan soal hots sbmptn matematika dasar 2019 berikut. Jangan khawatir, jika kamu sudah rajin berlatih dan memahami konsep dari rumusnya pasti kamu bisa lancar dalam. Latihan soal dan pembahasan bahasa inggris berikut ini contoh soal dan pembahasan bahasa inggris. Seleksi sbmptn ini setiap tahun diadakan setelah snmptn selesai. Sbmptn merupakan singkatan dari seleksi bersama masuk perguruan tinggi negeri. Semoga soal ini dapat membantu adik adik dalam mengerjakan dan memahami bentuk soal turunan matematika.
Limit trigonometri lingkaran logaritma matematika dasar matematika ipa matriks pelua peluang persamaan kuadrat pertidaksamaan program linier sbmptn sbmptn 2013 kode 323 sbmptn 2014 kode 584 sbmptn 2015 kode 502 simak ui simak ui 2011 kode 315.
Jangan sampai semangat kamu kendor, yuk matangkan persiapan kamu dengan latihan soal. Contoh soal pembahasan trigonometri kelas x 10 soal no 1 utbk 2019 jika diketahui x sin α sin β dan y cos α cos β maka nilai terbesar x 2 y 2 tercapai saat. Latihan soal utbk matematika saintek 2021 dan pembahasannya. Nilai lim 𝑥→ 𝜋 3 2 tan 𝑥−sin 𝑥 cos 𝑥 = ⋯. Dilarang memperbanyak atau memindahkan sebagian atau seluruh isi buku ini dalam bentuk apa pun, secara elektronis maupun mekanis, termasuk memfotokopi, merekam, atau dengan teknik. Pahamifren, sudah tahu kan, kalau utbk sbmptn 2021 tinggal hitungan hari. 120 limit fungsi trigonometri 1 sman 12 makassar soal dan pembahasan limit fungsi trigonometri 1. Contoh soal limit fungsi trigonometri kelas 12 oleh admin diposting pada 3 juli 2020 pada kesempatan ini soal terbaru akan membahas materi limit fungsi trigonometri mencakup konsep rujukan soal dan pembahasan. Semoga bermanfaat untuk dijadikan bahan belajar. Un 2017 himpunan penyelesaian persamaan cos 2x cos x untuk 0 x 2π adalah. Soal dan pembahasan grafik fungsi trigonometri. Buat kamu yang berencana mengambil kelompok ujian saintek, mipi mau mengajak kamu membahas soal utbk matematika saintek nih. Maths.id blog seputar matematika sma, ringkasan materi, contoh dan latihan soal, pembahasan soal un dan sbmptn.
Berikut ini koleksi bank soal seleksi perguruan tinggi negeri atau sbmptn materi trigonometri dari tahun 1992 sampai 2017 dengan jumlah 99 butir soal: Contoh soal pembahasan trigonometri kelas x10 soal no1 utbk 2019 jika diketahui x sin α sin β dan y cos α cos β maka nilai terbesar x 2 y 2 tercapai saat. (sbmptn 2018 kode 453) karena limit tersebut bentuk, maka dapat diselesaikan dengan l. Nilai lim 𝑥→ 𝜋 3 2 tan 𝑥−sin 𝑥 cos 𝑥 = ⋯. Soal dan pembahasan grafik fungsi trigonometri.
70 Soal Dan Pembahasan Matematika Dasar Sma Trigonometri Defantri Com from 4.bp.blogspot.com Pahamifren, sudah tahu kan, kalau utbk sbmptn 2021 tinggal hitungan hari. Semoga bermanfaat untuk dijadikan bahan belajar. Rumus turunan trigonometri contoh soal dan pembahasannya. Sbmptn 2018/2019 adalah seleksi penerimaan calon mahasiswa baru untuk perguruan tinggi negeri. Untuk mengikuti seleksi utbk sbmptn 2020/2021 perlu persiapan. Semoga soal ini dapat membantu adik adik dalam mengerjakan dan memahami bentuk soal turunan matematika. Soal sbmptn trigonometri dan pembahasannya.rumus turunan trigonometri contoh soal dan pembahasannya. Soal dan pembahasan grafik fungsi trigonometri.
Yuk nonton video pembahasan soal sbmptn dari tahun 2014 sampai prediksi soal sbmptn tahun 2018 di ruangbelajar.
Semoga soal ini dapat membantu adik adik dalam mengerjakan dan memahami bentuk soal turunan matematika. Berikut ini www.matjitu.com akan membahas beberapa soal sbmptn tentang limit. Pembahasan soal sbmptn 2014 seleksi bersama masuk perguruan tinggi negeri disertai trik superkilat dan logika praktis matematika dasar distributed by : Contoh soal pembahasan trigonometri kelas x 10 soal no 1 utbk 2019 jika diketahui x sin α sin β dan y cos α cos β maka nilai terbesar x 2 y 2 tercapai saat. The government published a report yesterday saying that we need to eat more healthily more fruits and vegetables less fat and sugar. Sebelum masuk ke topik utama, kita akan melakukan review singkat tentang fungsi turunan atau diferensial. Latihan soal sbmptn matematika ipa: Download soal utbk sbmptn dan pembahasan. Buat kamu yang berencana mengambil kelompok ujian saintek, mipi mau mengajak kamu membahas soal utbk matematika saintek nih. 100 soal dan pembahasan trigonometri penulis: Maths.id blog seputar matematika sma, ringkasan materi, contoh dan latihan soal, pembahasan soal un dan sbmptn. 3 pembahasan soal un / unbk dan sbmptn turunan fungsi aljabar dan trigonometri soal dan pembahasan turunan fungsi aljabar dan trigonometri atau diferensial adalah topik bahasan kita kali ini. Sbmptn merupakan singkatan dari seleksi bersama masuk perguruan tinggi negeri.
Berbagi
Posting Komentar
untuk "Soal Sbmptn Trigonometri Dan Pembahasan - Contoh Soal Dan Pembahasan Sbmptn Materi Luas Segitiga Trigonometri Jawabanku Id / Dilarang memperbanyak atau memindahkan sebagian atau seluruh isi buku ini dalam bentuk apa pun, secara elektronis maupun mekanis, termasuk memfotokopi, merekam, atau dengan teknik."
Posting Komentar untuk "Soal Sbmptn Trigonometri Dan Pembahasan - Contoh Soal Dan Pembahasan Sbmptn Materi Luas Segitiga Trigonometri Jawabanku Id / Dilarang memperbanyak atau memindahkan sebagian atau seluruh isi buku ini dalam bentuk apa pun, secara elektronis maupun mekanis, termasuk memfotokopi, merekam, atau dengan teknik."